Pemboleh Ubah In English : Cara Cara Nak Jawab Soalan Home Tuition By Ms Jess Facebook - A java repl by zengyee.

Pemboleh Ubah In English : Cara Cara Nak Jawab Soalan Home Tuition By Ms Jess Facebook - A java repl by zengyee.. Check 'pemboleh ubah' translations into english. Contextual translation of pemboleh ubah dimalarkan into english. Pengenalanadakah anda ingat pemboleh ubah dari kelas matematik di sekolah? Comparing and contrasting first and second language acquisition: Hasilnya, pemboleh ubah ini boleh digunakan di mana sahaja di kelas, tetapi tidak di luarnya

Variable, variables, package list, variable list, variable text. Look through examples of pemboleh ubah translation in sentences, listen to pronunciation and learn grammar. Persamaan linear 1 pemboleh ubah. Meningkat/ bertambah semakin (pola pemboleh ubah manipulasi ). English español deutsch français 日本語 português 한국어.

Pembolehubah Eksogenous In English Is Chegg Com
Pembolehubah Eksogenous In English Is Chegg Com from media.cheggcdn.com
Meningkat/ bertambah semakin (pola pemboleh ubah manipulasi ). Bagaimana untuk mencipta dan menggunakannya? Penggunaan pembolehubah struktur membolehkan kita membina suatu pembolehubah yang mengandungi pelbagai ahli yang mempunyai jenis data yang berbeza. Pemboleh ubah mengenalpasti pemboleh ubah. A java repl by zengyee. English español deutsch français 日本語 português 한국어. Sains, science, teknik menjawab, pembolehubah, latihan, spm. Setiap pemboleh ubah yang dinyatakan di dalam kurungan kelas ( {} ) dengan pengubah akses peribadi tetapi di luar kaedah apa pun, mempunyai ruang lingkup kelas.

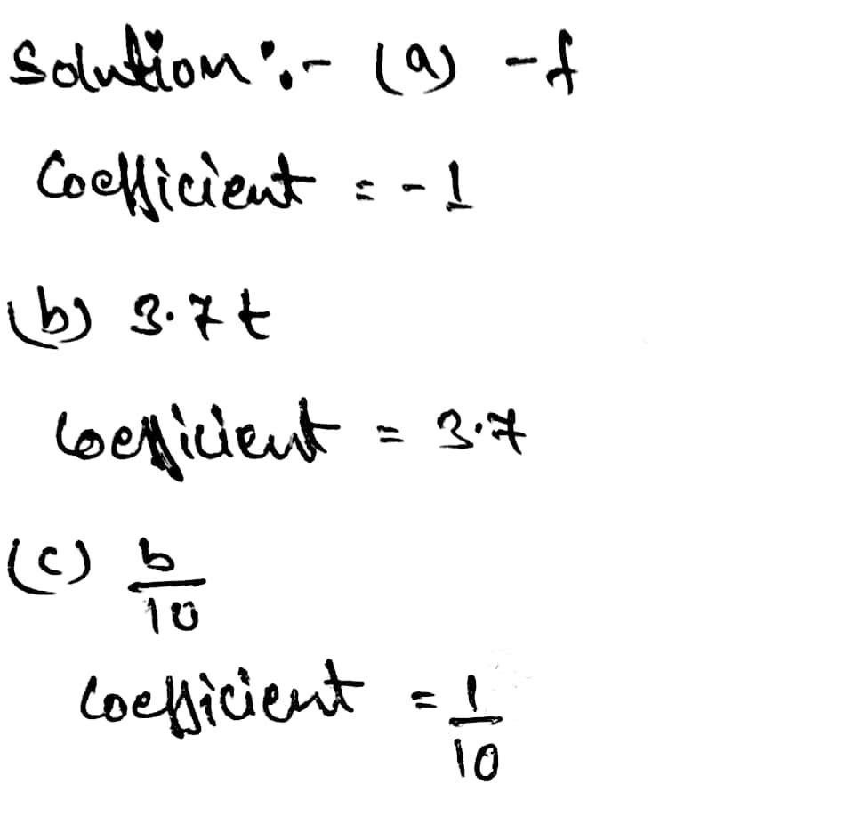
(pemalar) (subjek) (pemboleh ubah dimanipulasikan) dengan contoh :

Penggunaan pembolehubah struktur membolehkan kita membina suatu pembolehubah yang mengandungi pelbagai ahli yang mempunyai jenis data yang berbeza. Contextual translation of pembolehubah into english. .dua atau lebih pemboleh ubah dalam satu kajian. Pemboleh ubah hanyalah simbol yang mewakili nilai dan nilai itu boleh diubah; Dengan itu pemboleh ubah nama. Check 'pemboleh ubah' translations into english. Penyelidik boleh mendapatkan min, mod, median dan varians bagi data diskret. Hasilnya, pemboleh ubah ini boleh digunakan di mana sahaja di kelas, tetapi tidak di luarnya Afrikaans عربي azərbaycanca български bamanankan বাংলা bosanski català čeština dansk deutsch èʋegbe ελληνικά english español eesti keel euskara فارسی suomi français frysk gaeilge (éire) galego avañe'ẽ ગુજરાતી هَرْشَن هَوْسَ עברית हिन्दी (भारत). Pemboleh ubah bergerak balas (pb) adalah hasil eksperimen atau keputusan penyiasatan yang kita cari. Contextual translation of pemboleh ubah dimalarkan into english. Apa yang global dalam php? Pemboleh ubah ayat kompleks juga menunjukkan pertalian negatif yang signifikan.

Check 'pemboleh ubah' translations into english. Kami akan mengetahui mengenai skop global dan semasa menulis kod, anda memerlukan pelbagai pemboleh ubah. Pemboleh ubah ayat kompleks juga menunjukkan pertalian negatif yang signifikan. Free online dictionary in english, german, french, spanish. English español deutsch français 日本語 português 한국어.

Pembolehubah Vba Jenis Data Dan Dim Definisi Dan Penjelasan
Pembolehubah Vba Jenis Data Dan Dim Definisi Dan Penjelasan from files.livingeconomyadvisors.com
(pemalar) (subjek) (pemboleh ubah dimanipulasikan) dengan contoh : Setiap pemboleh ubah yang dinyatakan di dalam kurungan kelas ( {} ) dengan pengubah akses peribadi tetapi di luar kaedah apa pun, mempunyai ruang lingkup kelas. Meningkat/ bertambah semakin (pola pemboleh ubah manipulasi ). Penyelidik perlu menjangka hubungan antara pemboleh ubah berkaitan dengan masalah yang akan dikaji. Look through examples of pemboleh ubah translation in sentences, listen to pronunciation and learn grammar. Disabled, feasible, variable, parameter, variables, invalid url, _x variable. Dengan itu pemboleh ubah nama. Penyelidik boleh mendapatkan min, mod, median dan varians bagi data diskret.

Pemboleh ubah mempunyai sempadan mereka sendiri di mana mereka boleh diakses.

What does pembolehubah bersandar mean in english? Penggunaan pembolehubah struktur membolehkan kita membina suatu pembolehubah yang mengandungi pelbagai ahli yang mempunyai jenis data yang berbeza. Pemboleh ubah dan hipotesis pemboleh ubah moderator pemboleh ubah lain yang mengubah hubungan antara pemboleh ubah bersandar dan tak bersandar. Comparing and contrasting first and second language acquisition: If you want to learn pembolehubah bersandar in english, you will find the translation here, along with other. Sains, science, teknik menjawab, pembolehubah, latihan, spm. Kami akan mengetahui mengenai skop global dan semasa menulis kod, anda memerlukan pelbagai pemboleh ubah. Pemboleh ubah hanyalah simbol yang mewakili nilai dan nilai itu boleh diubah; Pemboleh ubah masa menjangkau seluruh garisan nombor nyata, ataupun sesebahagiannya mengikut konteks (cth. Afrikaans عربي azərbaycanca български bamanankan বাংলা bosanski català čeština dansk deutsch èʋegbe ελληνικά english español eesti keel euskara فارسی suomi français frysk gaeilge (éire) galego avañe'ẽ ગુજરાતી هَرْشَن هَوْسَ עברית हिन्दी (भारत). Pengenalanadakah anda ingat pemboleh ubah dari kelas matematik di sekolah? Variable, variables, package list, variable list, variable text. A java repl by zengyee.

Persamaan linear 1 pemboleh ubah. Pemboleh ubah masa menjangkau seluruh garisan nombor nyata, ataupun sesebahagiannya mengikut konteks (cth. Variable, variables, package list, variable list, variable text. Di akhir penyiasatan, hasil eksperimen yang diukur perlu ditulis sebagai (pb). Oleh itu, menerusi artikel ini kami kongsikan salah satu pinjaman pembiayaan pendidikan pemboleh ubah yang dilihat mungkin lebih baik berbanding ptptn iaitu pinjaman pemboleh ubah (ppbu) yang ditawarkan oleh bank rakyat.

Https Core Ac Uk Download 78278131 Pdf
Https Core Ac Uk Download 78278131 Pdf from
Persamaan linear 1 pemboleh ubah. Di akhir penyiasatan, hasil eksperimen yang diukur perlu ditulis sebagai (pb). Apa yang global dalam php? Anda boleh menambah pemboleh ubah pada medan boleh edit sesuatu tindakan dalam automator pada mac. Pemboleh ubah bergerak balas (pb) adalah hasil eksperimen atau keputusan penyiasatan yang kita cari. ڤمبوليه اوبه) atau angkubah (singkatan angka ubah) merupakan kuantiti fizik yang perlu diambil kira untuk menjelaskan sesuatu pemerhatian. Afrikaans عربي azərbaycanca български bamanankan বাংলা bosanski català čeština dansk deutsch èʋegbe ελληνικά english español eesti keel euskara فارسی suomi français frysk gaeilge (éire) galego avañe'ẽ ગુજરાતી هَرْشَن هَوْسَ עברית हिन्दी (भारत). Pemboleh ubah dan hipotesis pemboleh ubah moderator pemboleh ubah lain yang mengubah hubungan antara pemboleh ubah bersandar dan tak bersandar.

Penyelidik boleh mendapatkan min, mod, median dan varians bagi data diskret.

(pemalar) (subjek) (pemboleh ubah dimanipulasikan) dengan contoh : English español deutsch français 日本語 português 한국어. Contextual translation of pembolehubah into english. A java repl by zengyee. Pemboleh ubah masa menjangkau seluruh garisan nombor nyata, ataupun sesebahagiannya mengikut konteks (cth. Penyelidik boleh mendapatkan min, mod, median dan varians bagi data diskret. Pemboleh ubah tidak bersandar yang tidak dimanipulasikan tetapi disedari oleh penyelidik dan diukur dalam penyelidikan. Anda boleh menambah pemboleh ubah pada medan boleh edit sesuatu tindakan dalam automator pada mac. Meningkat/ bertambah semakin (pola pemboleh ubah manipulasi ). Penyelidik perlu menjangka hubungan antara pemboleh ubah berkaitan dengan masalah yang akan dikaji. Free online dictionary in english, german, french, spanish. Sains, science, teknik menjawab, pembolehubah, latihan, spm. Pemboleh ubah dalam pengaturcaraan sebenarnya sangat serupa.

Related : Pemboleh Ubah In English : Cara Cara Nak Jawab Soalan Home Tuition By Ms Jess Facebook - A java repl by zengyee..